Официальное опубликование правовых актов
ОФИЦИАЛЬНОЕ ОПУБЛИКОВАНИЕ
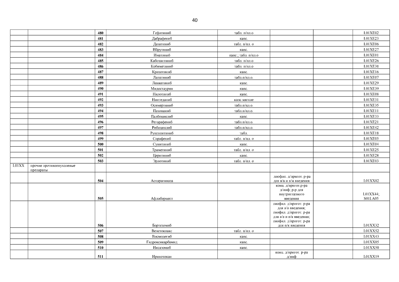
Постановление Правительства Нижегородской области от 28.08.2023 № 785
"О внесении изменений в Программу государственных гарантий бесплатного оказания населению Нижегородской области медицинской помощи на 2023 год и на плановый период 2024 и 2025 годов, утвержденную постановлением Правительства Нижегородской области от 29 декабря 2022 г. № 1160"
Номер опубликования: 5200202308290002
Дата опубликования: 29.08.2023
Страница №120 из 145:
Увеличить