Официальное опубликование правовых актов
ОФИЦИАЛЬНОЕ ОПУБЛИКОВАНИЕ
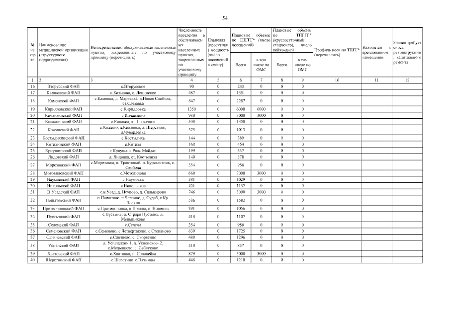
Постановление Правительства Нижегородской области от 21.06.2023 № 541
"О внесении изменения в региональную программу модернизации первичного звена здравоохранения Нижегородской области, утвержденную постановлением Правительства Нижегородской области от 15 декабря 2020 г. № 1029"
Номер опубликования: 5200202306230008
Дата опубликования: 23.06.2023
Страница №55 из 3146:
Увеличить