Официальное опубликование правовых актов
ОФИЦИАЛЬНОЕ ОПУБЛИКОВАНИЕ
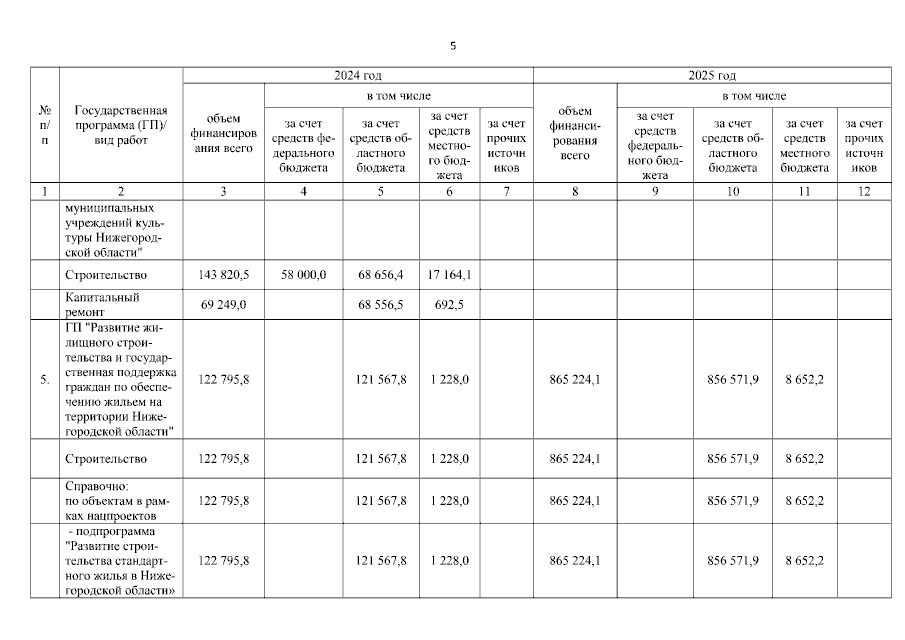
Постановление Правительства Нижегородской области от 07.06.2023 № 495
"О внесении изменений в Адресную инвестиционную программу Нижегородской области на 2023—2025 годы, утвержденную постановлением Правительства Нижегородской области от 16 декабря 2022 г. № 1082"
Номер опубликования: 5200202306140003
Дата опубликования: 14.06.2023
Страница №22 из 456:
Увеличить