Официальное опубликование правовых актов
ОФИЦИАЛЬНОЕ ОПУБЛИКОВАНИЕ
Постановление Правительства Нижегородской области от 12.05.2023 № 408
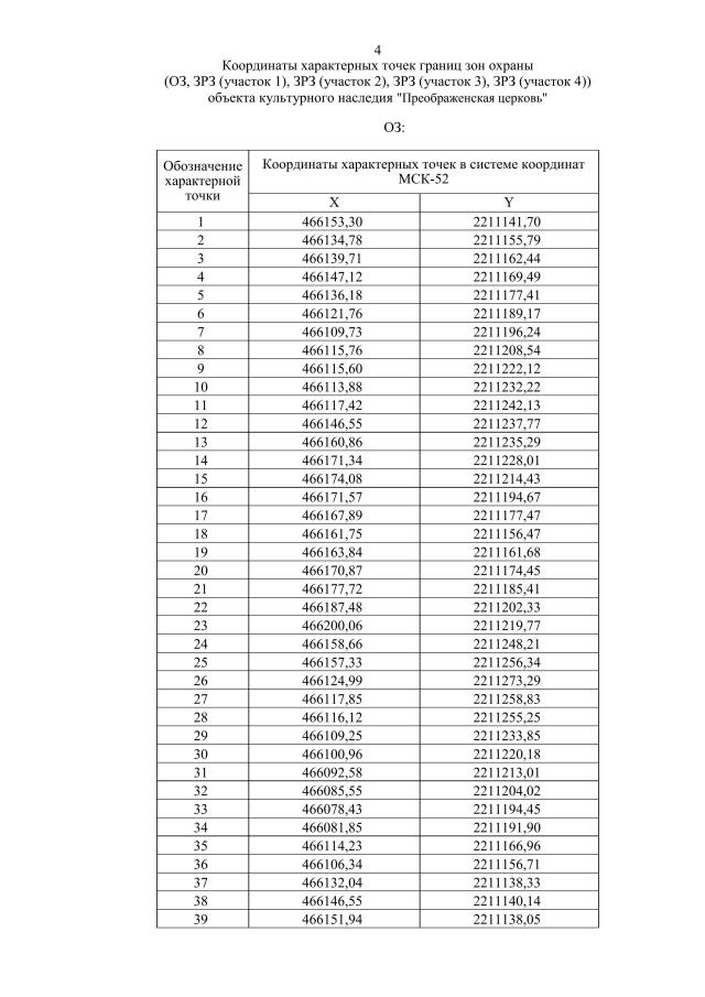
"Об установлении зон охраны объекта культурного наследия регионального значения "Преображенская церковь" (Нижегородская область, Дальнеконстантиновский район, с. Суроватиха) и утверждении требований к градостроительным регламентам в границах территорий данных зон"
Номер опубликования: 5200202305170002
Дата опубликования: 17.05.2023
Страница №6 из 17:
Увеличить