Официальное опубликование правовых актов
ОФИЦИАЛЬНОЕ ОПУБЛИКОВАНИЕ
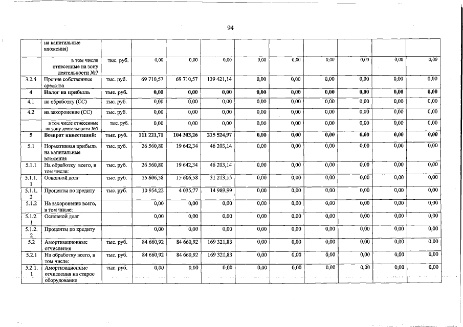
Распоряжение Правительства Нижегородской области от 28.11.2022 № 1462-р "О внесении изменений в распоряжение Правительства Нижегородской области от 29 марта 2016 г. № 349-р"
Номер опубликования: 5200202212050024
Дата опубликования: 05.12.2022
Страница №95 из 115:
Увеличить