Официальное опубликование правовых актов
ОФИЦИАЛЬНОЕ ОПУБЛИКОВАНИЕ
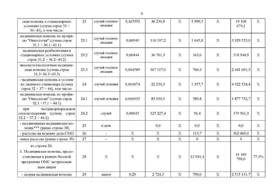
Постановление Правительства Нижегородской области от 22.04.2021 № 330
"О внесении изменений в Программу государственных гарантий бесплатного оказания населению Нижегородской области медицинской помощи на 2021 год и на плановый период 2022 и 2023 годов, утвержденную постановлением Правительства Нижегородской области от 23 декабря 2020 г. № 1086"
Номер опубликования: 5200202104270012
Дата опубликования: 27.04.2021
Страница №16 из 293:
Увеличить