Официальное опубликование правовых актов
ОФИЦИАЛЬНОЕ ОПУБЛИКОВАНИЕ
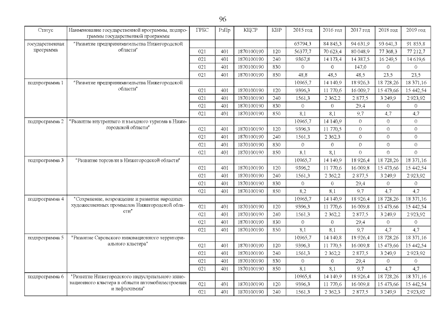
Постановление Правительства Нижегородской области от 29.03.2021 № 232 "О внесении изменений в государственную программу "Развитие предпринимательства Нижегородской области", утвержденную постановлением Правительства Нижегородской области от 29 апреля 2014 г. № 290"
Номер опубликования: 5200202103300004
Дата опубликования: 30.03.2021
Страница №97 из 130:
Увеличить