Официальное опубликование правовых актов
ОФИЦИАЛЬНОЕ ОПУБЛИКОВАНИЕ
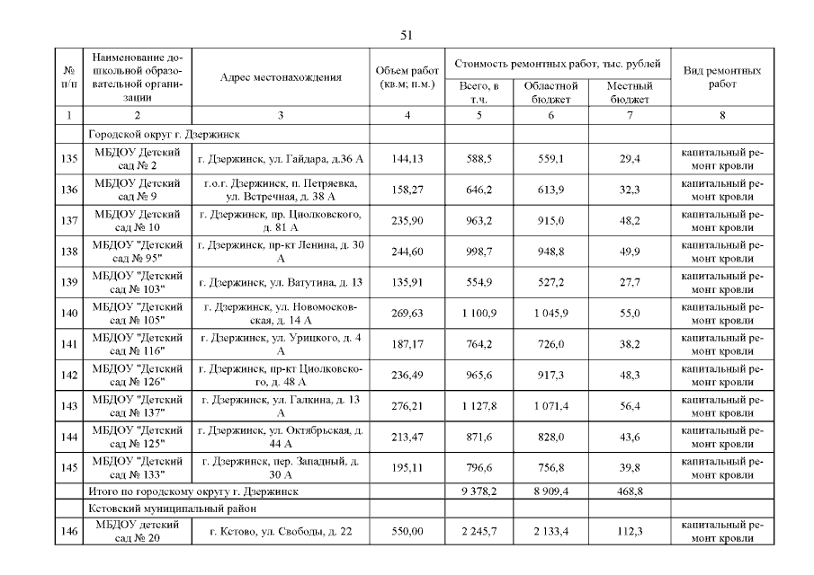
Постановление Правительства Нижегородской области от 14.01.2021 № 24 "О внесении изменений в государственную программу "Капитальный ремонт образовательных организаций Нижегородской области", утвержденную постановлением Правительства Нижегородской области от 29 марта 2019 г. № 180"
Номер опубликования: 5200202101150002
Дата опубликования: 15.01.2021
Страница №52 из 54:
Увеличить