Официальное опубликование правовых актов
ОФИЦИАЛЬНОЕ ОПУБЛИКОВАНИЕ
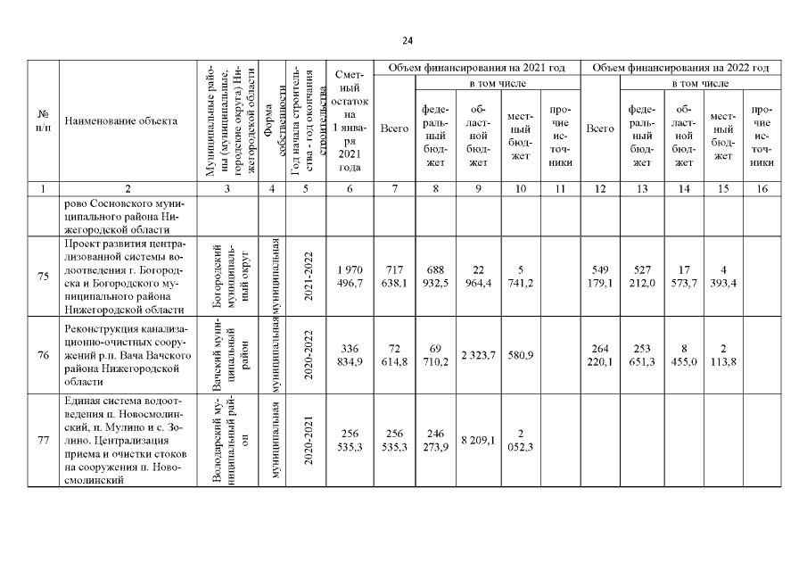
Постановление Правительства Нижегородской области от 30.12.2020 № 1135 "О внесении изменений в Адресную инвестиционную программу Нижегородской области на 2020 - 2022 годы, утвержденную постановлением Правительства Нижегородской области от 17 декабря 2019 г. № 960"
Номер опубликования: 5200202012310014
Дата опубликования: 31.12.2020
Страница №400 из 404:
Увеличить