Официальное опубликование правовых актов
ОФИЦИАЛЬНОЕ ОПУБЛИКОВАНИЕ
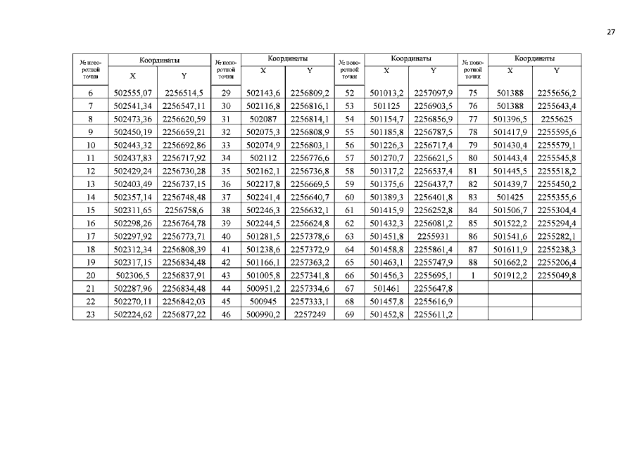
Постановление Правительства Нижегородской области от 30.12.2020 № 1138 "Об изменении границ земель, на которых расположены леса в зеленых зонах Арзамасского межрайонного лесничества департамента лесного хозяйства Нижегороцской области"
Номер опубликования: 5200202012310008
Дата опубликования: 31.12.2020
Страница №62 из 71:
Увеличить