Официальное опубликование правовых актов
ОФИЦИАЛЬНОЕ ОПУБЛИКОВАНИЕ
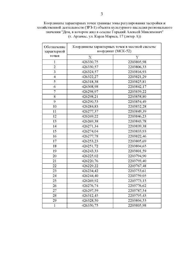
Постановление Правительства Нижегородской области от 02.12.2020 № 990 "Об установлении зон охраны объектов культурного наследия регионального значения, расположенных на ул. Карла Маркса и ул. Кирова в г. Арзамасе, и утверждении требований к градостроительным регламентам в границах территорий данных зон"
Номер опубликования: 5200202012030006
Дата опубликования: 03.12.2020
Страница №5 из 37:
Увеличить