Официальное опубликование правовых актов
ОФИЦИАЛЬНОЕ ОПУБЛИКОВАНИЕ
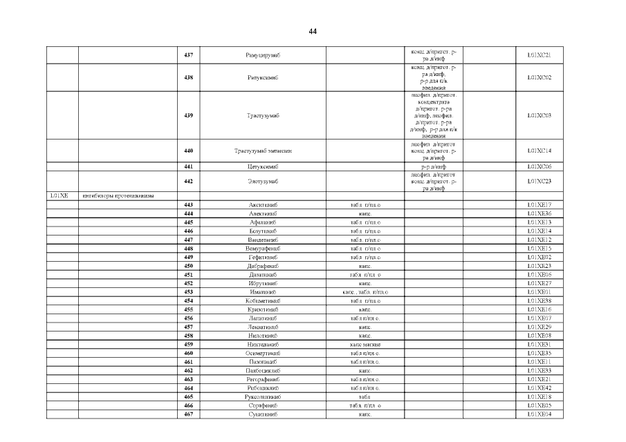
Постановление Правительства Нижегородской области от 01.12.2020 № 985 "О внесении изменений в Программу государственных гарантий бесплатного оказания населению Нижегородской области медицинской помощи на 2020 год и на плановый период 2021 и 2022 годов, утвержденную постановлением Правительства Нижегородской области от 27 декабря 2019 г. № 1020"
Номер опубликования: 5200202012020028
Дата опубликования: 02.12.2020
Страница №116 из 143:
Увеличить