Официальное опубликование правовых актов
ОФИЦИАЛЬНОЕ ОПУБЛИКОВАНИЕ
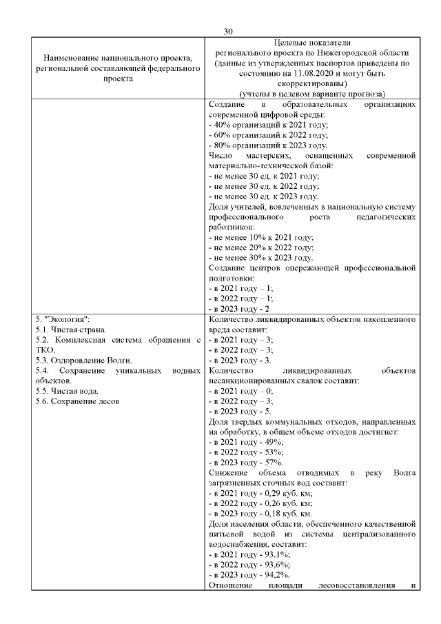
Постановление Правительства Нижегородской области от 20.10.2020 № 863 "О прогнозе социально-экономического развития Нижегородской области на среднесрочный период (на 2021 год и на плановый период 2022 и 2023 годов)"
Номер опубликования: 5200202010210006
Дата опубликования: 21.10.2020
Страница №31 из 39:
Увеличить