Официальное опубликование правовых актов
ОФИЦИАЛЬНОЕ ОПУБЛИКОВАНИЕ
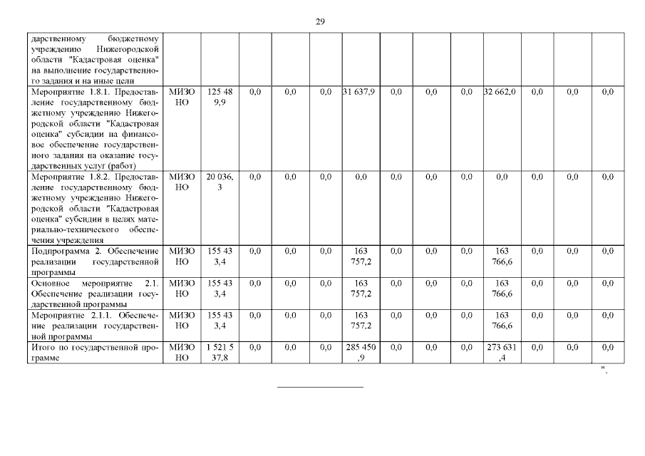
Постановление Правительства Нижегородской области от 15.10.2020 № 852 "О внесении изменений в постановление Правительства Нижегородской области от 28 апреля 2014 г. № 284"
Номер опубликования: 5200202010160007
Дата опубликования: 16.10.2020
Страница №30 из 30:
Увеличить