Официальное опубликование правовых актов
ОФИЦИАЛЬНОЕ ОПУБЛИКОВАНИЕ
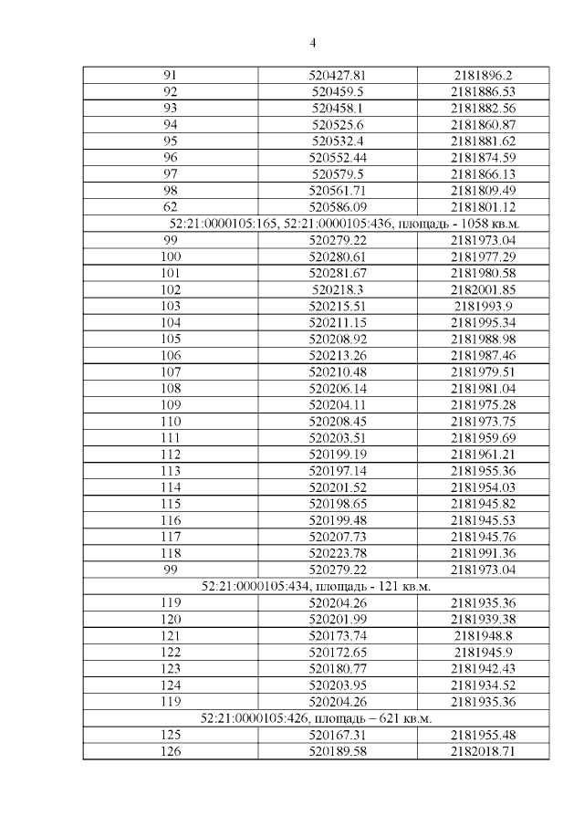
Постановление Правительства Нижегородской области от 08.09.2020 № 744 "О внесении изменения в приложение к постановлению Правительства Нижегородской области от 20 мая 2020 г. № 397"
Номер опубликования: 5200202009080004
Дата опубликования: 08.09.2020
Страница №5 из 8:
Увеличить