Официальное опубликование правовых актов
ОФИЦИАЛЬНОЕ ОПУБЛИКОВАНИЕ
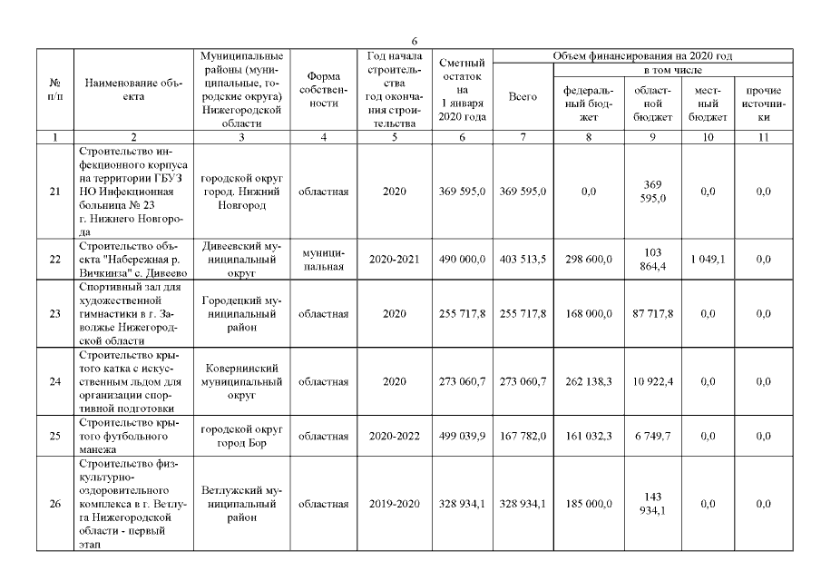
Постановление Правительства Нижегородской области от 20.08.2020 № 716 "О внесении изменений в Адресную инвестиционную программу Нижегородской области на 2020 - 2022 годы, утвержденную постановлением Правительства Нижегородской области от 17 декабря 2019 г. № 960"
Номер опубликования: 5200202008210003
Дата опубликования: 21.08.2020
Страница №111 из 146:
Увеличить