Официальное опубликование правовых актов
ОФИЦИАЛЬНОЕ ОПУБЛИКОВАНИЕ
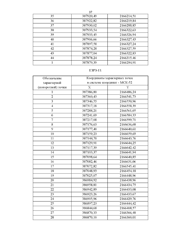
Постановление Правительства Нижегородской области от 12.08.2020 № 682 "Об установлении объединенных зон охраны объектов культурного наследия, расположенных в с.Дивеево‚ и утверждении требований к градостроительным регламентам в границах территорий данных зон"
Номер опубликования: 5200202008130007
Дата опубликования: 13.08.2020
Страница №40 из 62:
Увеличить