Официальное опубликование правовых актов
ОФИЦИАЛЬНОЕ ОПУБЛИКОВАНИЕ
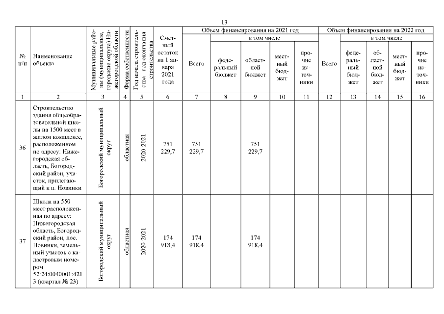
Постановление Правительства Нижегородской области от 11.08.2020 № 674 "О внесении изменений в Адресную инвестиционную программу Нижегородской области на 2020 - 2022 годы, утвержденную постановлением Правительства Нижегородской области от 17 декабря 2019 г. № 960"
Номер опубликования: 5200202008120016
Дата опубликования: 12.08.2020
Страница №273 из 292:
Увеличить