Официальное опубликование правовых актов
ОФИЦИАЛЬНОЕ ОПУБЛИКОВАНИЕ
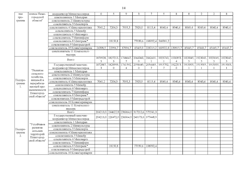
Постановление Правительства Нижегородской области от 06.08.2020 № 654 "О внесении изменений в государственную программу "Развитие агропромышленного комплекса Нижегородской области", утвержденную постановлением Правительства Нижегородской области от 28 апреля 2014 г. № 280"
Номер опубликования: 5200202008070004
Дата опубликования: 07.08.2020
Страница №15 из 42:
Увеличить