Официальное опубликование правовых актов
ОФИЦИАЛЬНОЕ ОПУБЛИКОВАНИЕ
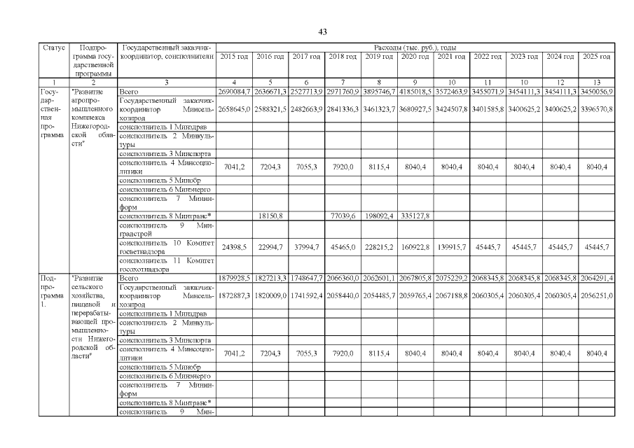
Постановление Правительства Нижегородской области от 14.05.2020 № 386
"О внесении изменений в постановление Правительства Нижегородской области от 28 апреля 2014 г. № 280"
Номер опубликования: 5200202005150003
Дата опубликования: 15.05.2020
Страница №44 из 87:
Увеличить