Официальное опубликование правовых актов
ОФИЦИАЛЬНОЕ ОПУБЛИКОВАНИЕ
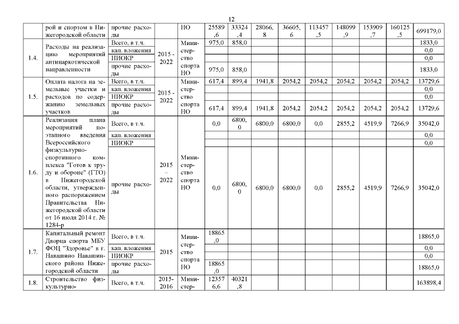
Постановление Правительства Нижегородской области от 10.04.2020 № 288
"О внесении изменений в государственную программу "Развитие физической культуры и спорта Нижегородской области", утвержденную постановлением Правительства Нижегородской области от 28 апреля 2014 г. № 285"
Номер опубликования: 5200202004100008
Дата опубликования: 10.04.2020
Страница №13 из 83:
Увеличить