Официальное опубликование правовых актов
ОФИЦИАЛЬНОЕ ОПУБЛИКОВАНИЕ
Постановление Правительства Нижегородской области от 10.04.2020 № 289
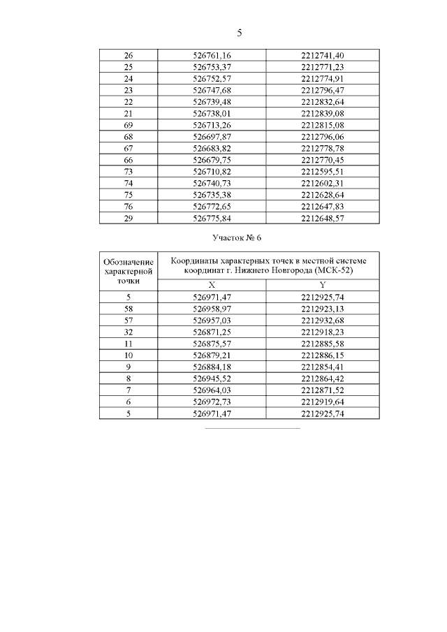
"Об установлении зон охраны объекта культурного наследия регионального значения "Фабрика товарищества нижегородской льнопрядильной мануфактуры. Склад" (г. Нижний Новгород, пер. Мотальный, 10 (литера А)) и утверждении требований к градостроительным регламентам в границах территорий данных зон"
Номер опубликования: 5200202004100006
Дата опубликования: 10.04.2020
Страница №7 из 13:
Увеличить