Официальное опубликование правовых актов
ОФИЦИАЛЬНОЕ ОПУБЛИКОВАНИЕ
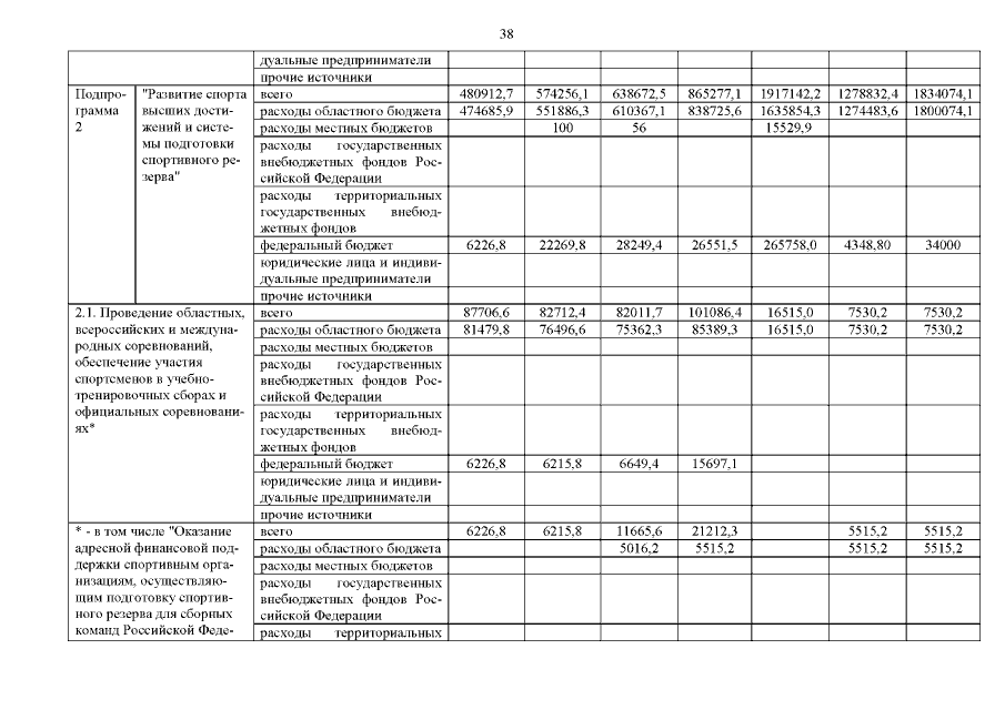
Постановление Правительства Нижегородской области от 31.01.2020 № 70
"О внесении изменений в государственную программу "Развитие физической культуры и спорта Нижегородской области", утвержденную постановлением Правительства Нижегородской области от 28 апреля 2014 г. № 285"
Номер опубликования: 5200202002030002
Дата опубликования: 03.02.2020
Страница №39 из 63:
Увеличить