Официальное опубликование правовых актов
ОФИЦИАЛЬНОЕ ОПУБЛИКОВАНИЕ
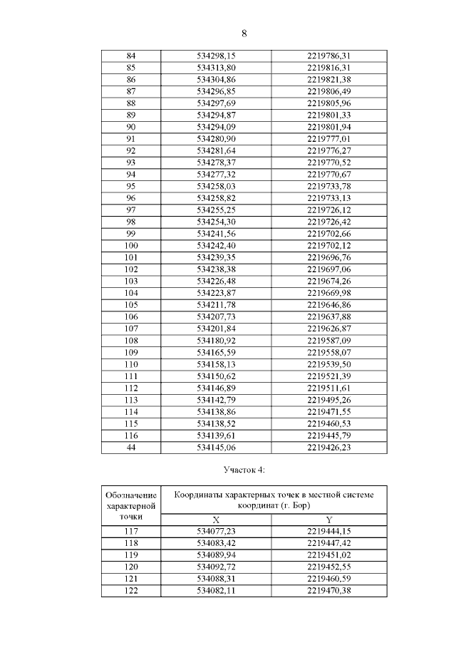
Постановление Правительства Нижегородской области от 11.10.2019 № 742
"Об установлении зон охраны объекта культурного наследия регионального значения "Успенская церковь" на ул. Интернациональной в г. Бор и утверждении требований к градостроительным регламентам в границах данных зон"
Номер опубликования: 5200201910160008
Дата опубликования: 16.10.2019
Страница №10 из 23:
Увеличить