Официальное опубликование правовых актов
ОФИЦИАЛЬНОЕ ОПУБЛИКОВАНИЕ
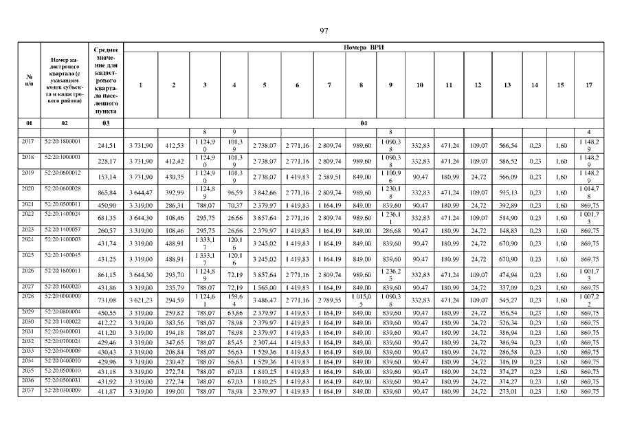
Постановление Правительства Нижегородской области от 03.10.2019 № 727
"О внесении изменения в постановление Правительства Нижегородской области от 10 декабря 2014 г. № 863"
Номер опубликования: 5200201910070002
Дата опубликования: 07.10.2019
Страница №98 из 777:
Увеличить