Официальное опубликование правовых актов
ОФИЦИАЛЬНОЕ ОПУБЛИКОВАНИЕ
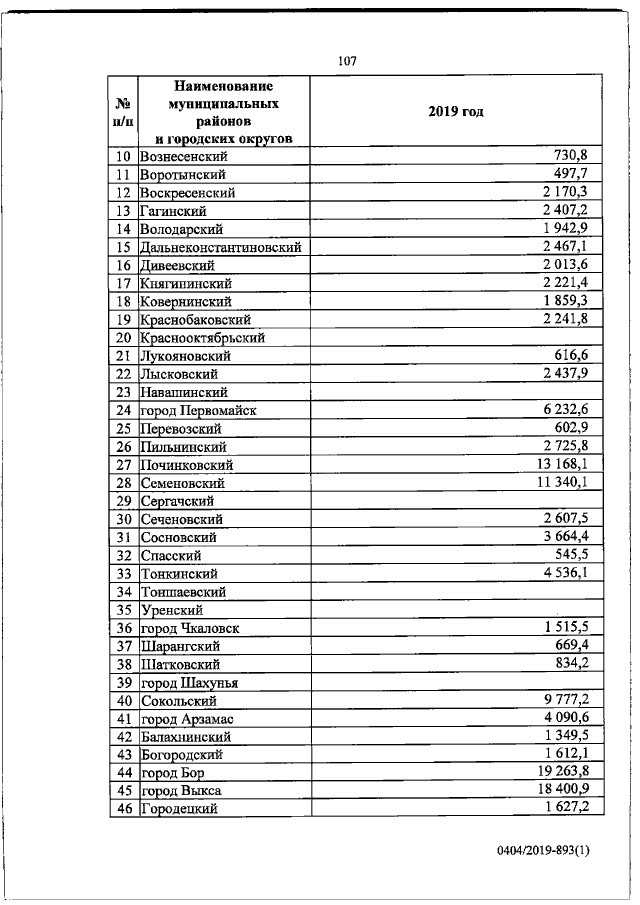
Закон Нижегородской области от 02.10.2019 № 103-З
"О внесении изменений в Закон Нижегородской области "Об областном бюджете на 2019 год и на плановый период 2020 и 2021 годов"
Номер опубликования: 5200201910030001
Дата опубликования: 03.10.2019
Страница №107 из 131:
Увеличить