Официальное опубликование правовых актов
ОФИЦИАЛЬНОЕ ОПУБЛИКОВАНИЕ
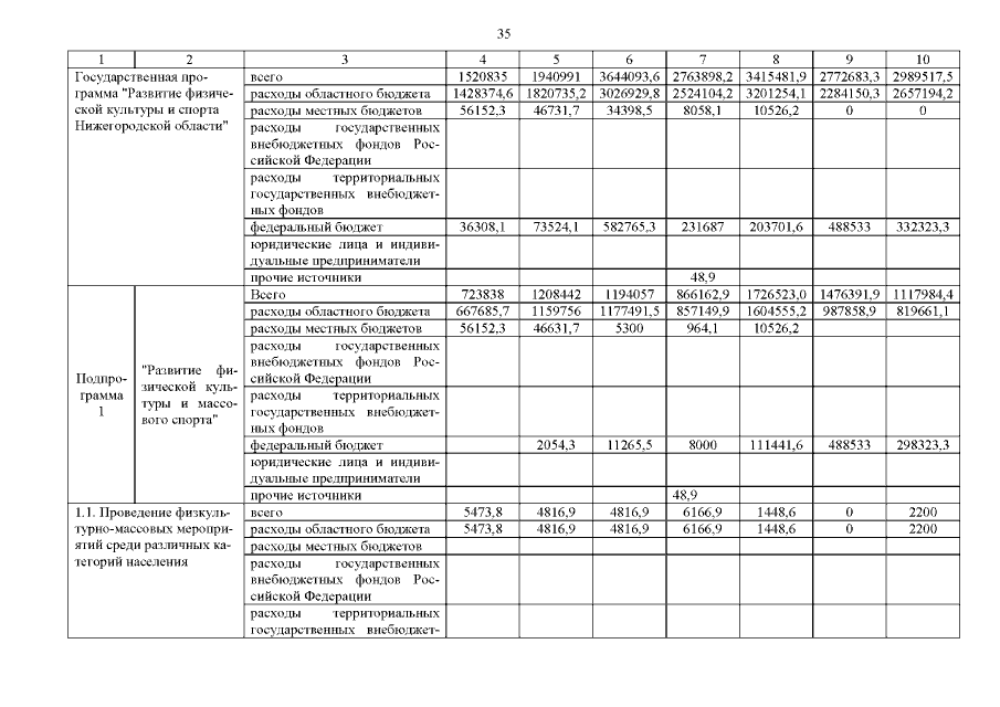
Постановление Правительства Нижегородской области от 17.07.2019 № 463
"О внесении изменений в государственную программу "Развитие физической культуры и спорта Нижегородской области", утвержденную постановлением Правительства Нижегородской области от 28 апреля 2014 г. № 285"
Номер опубликования: 5200201907180024
Дата опубликования: 18.07.2019
Страница №36 из 59:
Увеличить