Официальное опубликование правовых актов
ОФИЦИАЛЬНОЕ ОПУБЛИКОВАНИЕ
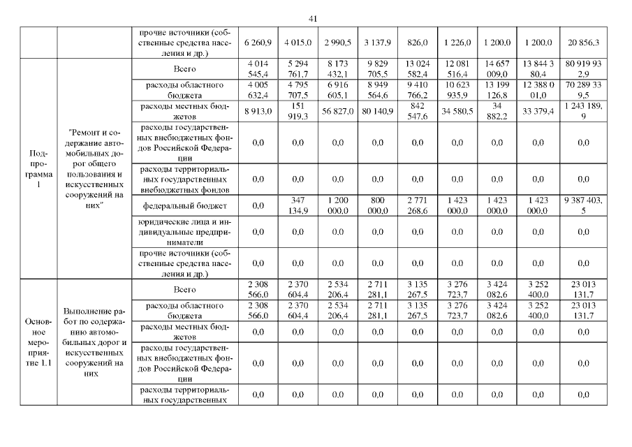
Постановление Правительства Нижегородской области от 28.02.2019 № 108
"О внесении изменений в государственную программу "Развитие транспортной системы Нижегородской области", утвержденную постановлением Правительства Нижегородской области от 30 апреля 2014 г. № 303"
Номер опубликования: 5200201903070014
Дата опубликования: 07.03.2019
Страница №42 из 857:
Увеличить