Официальное опубликование правовых актов
ОФИЦИАЛЬНОЕ ОПУБЛИКОВАНИЕ
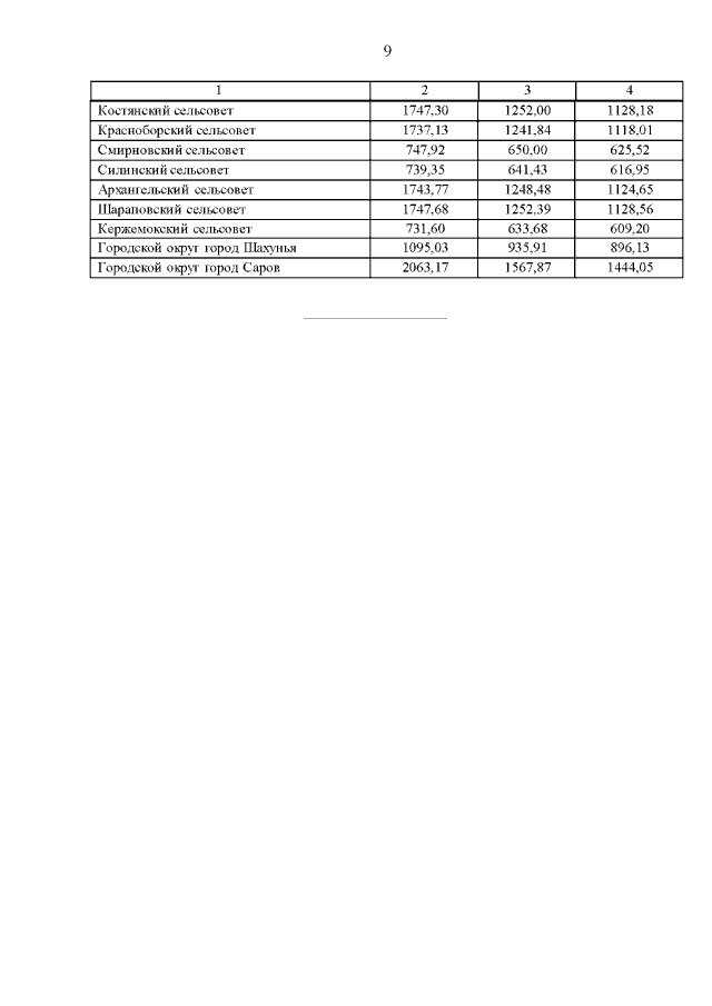
Постановление Правительства Нижегородской области от 06.02.2019 № 58
"Об установлении стандартов стоимости жилищно-коммунальных услуг для расчета субсидий на оплату жилого помещения и коммунальных услуг на 1-2 кварталы 2019 года"
Номер опубликования: 5200201902070001
Дата опубликования: 07.02.2019
Страница №30 из 30:
Увеличить