Официальное опубликование правовых актов
ОФИЦИАЛЬНОЕ ОПУБЛИКОВАНИЕ
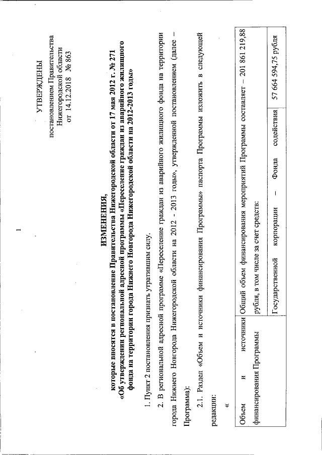
Постановление Правительства Нижегородской области от 14.12.2018 № 863
"О внесении изменений в постановление Правительства Нижегородской области от 17 мая 2012 г. № 271"
Номер опубликования: 5200201812210002
Дата опубликования: 21.12.2018
Страница №2 из 11:
Увеличить