Официальное опубликование правовых актов
ОФИЦИАЛЬНОЕ ОПУБЛИКОВАНИЕ
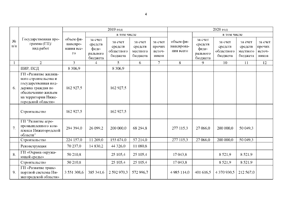
Постановление Правительства Нижегородской области от 07.12.2018 № 841
"О внесении изменений в Адресную инвестиционную программу Нижегородской области на 2018 - 2020 годы, утвержденную постановлением Правительства Нижегородской области от 8 ноября 2017 г. № 791"
Номер опубликования: 5200201812110001
Дата опубликования: 11.12.2018
Страница №16 из 213:
Увеличить