Официальное опубликование правовых актов
ОФИЦИАЛЬНОЕ ОПУБЛИКОВАНИЕ
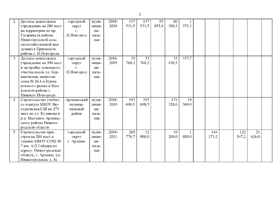
Постановление Правительства Нижегородской области от 31.10.2018 № 725
"О внесении изменений в Адресную инвестиционную программу Нижегородской области на 2018 - 2020 годы, утвержденную постановлением Правительства Нижегородской области от 8 ноября 2017 г.№ 791"
Номер опубликования: 5200201811090001
Дата опубликования: 09.11.2018
Страница №168 из 175:
Увеличить