Указ Губернатора Нижегородской области от 28.09.2018 № 139
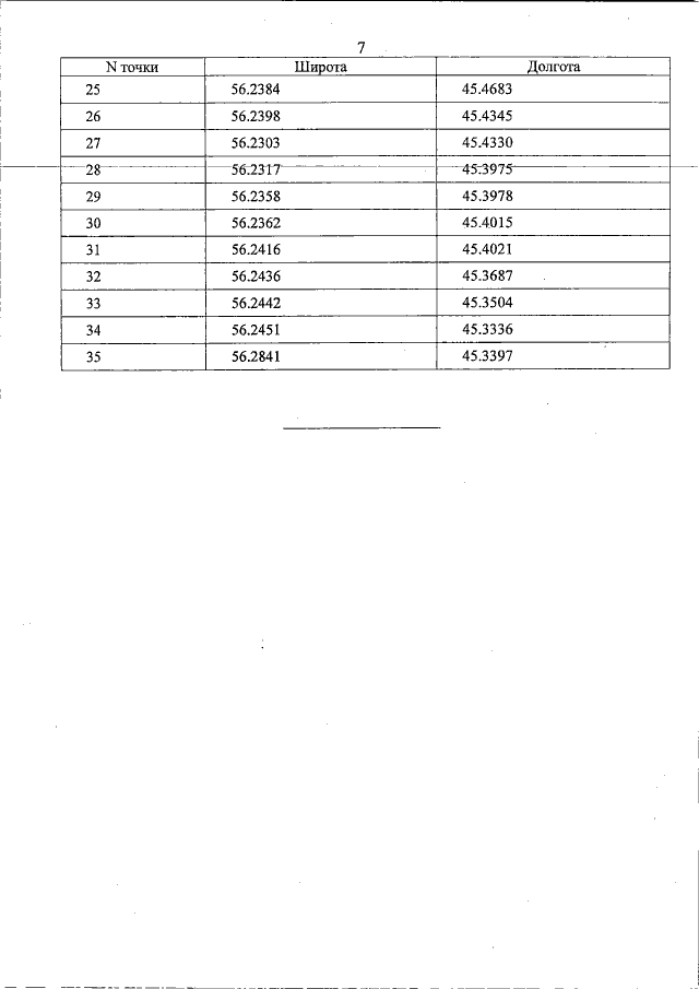
"Об охранной зоне памятника природы регионального значения "Болото Дряничное"
"Об охранной зоне памятника природы регионального значения "Болото Дряничное"
Номер опубликования: 5200201810010005
Дата опубликования:
01.10.2018
