Официальное опубликование правовых актов
ОФИЦИАЛЬНОЕ ОПУБЛИКОВАНИЕ
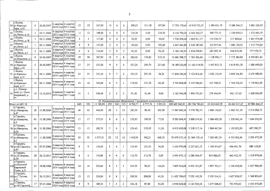
Постановление Правительства Нижегородской области от 14.03.2018 № 156
"О внесении изменений в государственную региональную адресную программу "Переселение граждан из аварийного жилищного фонда на территории Нижегородской области, в том числе с учетом необходимости развития малоэтажного жилищного строительства на 2013 -2017 годы", утвержденную постановлением Правительства Нижегородской области от 19 июня 2013 года № 383"
Номер опубликования: 5200201803190010
Дата опубликования: 19.03.2018
Страница №11 из 148:
Увеличить