Официальное опубликование правовых актов
ОФИЦИАЛЬНОЕ ОПУБЛИКОВАНИЕ
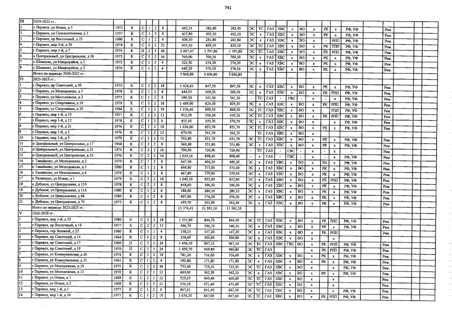
Постановление Правительства Нижегородской области от 22.12.2017 № 918
"О внесении изменений в постановление Правительства Нижегородской области от 1 апреля 2014 года № 208"
Номер опубликования: 5200201712250013
Дата опубликования: 25.12.2017
Страница №746 из 808:
Увеличить