Официальное опубликование правовых актов
ОФИЦИАЛЬНОЕ ОПУБЛИКОВАНИЕ
Постановление Правительства Нижегородской области от 29.09.2017 № 703
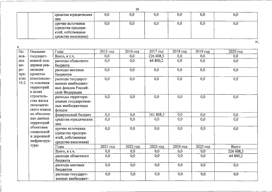
"О внесении изменений в государственную программу "Развитие жилищного строительства и государственная поддержка граждан по обеспечению жильем на территории Нижегородской области", утвержденную постановлением Правительства Нижегородской области от 30 апреля 2014 года № 302"
Номер опубликования: 5200201710030002
Дата опубликования: 03.10.2017
Страница №27 из 41:
Увеличить