Официальное опубликование правовых актов
ОФИЦИАЛЬНОЕ ОПУБЛИКОВАНИЕ
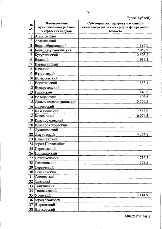
Закон Нижегородской области от 02.08.2017 № 102-З
"О внесении изменений в Закон Нижегородской области "Об областном бюджете на 2017 год и на плановый период 2018 и 2019 годов"
Номер опубликования: 5200201708020002
Дата опубликования: 02.08.2017
Страница №91 из 104:
Увеличить