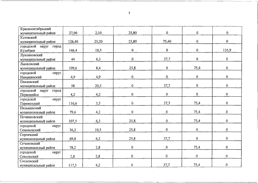
Постановление Правительства Нижегородской области от 05.07.2017 № 491
"О порядке предоставления, распределения и расходования субсидий за счет средств областного бюджета и средств, поступивших из федерального бюджета в областной бюджет, бюджетам муниципальных районов и городских округов Нижегородской области на поддержку отрасли культуры в 2017 году"
"О порядке предоставления, распределения и расходования субсидий за счет средств областного бюджета и средств, поступивших из федерального бюджета в областной бюджет, бюджетам муниципальных районов и городских округов Нижегородской области на поддержку отрасли культуры в 2017 году"
Номер опубликования: 5200201707100004
Дата опубликования:
10.07.2017
