Официальное опубликование правовых актов
ОФИЦИАЛЬНОЕ ОПУБЛИКОВАНИЕ
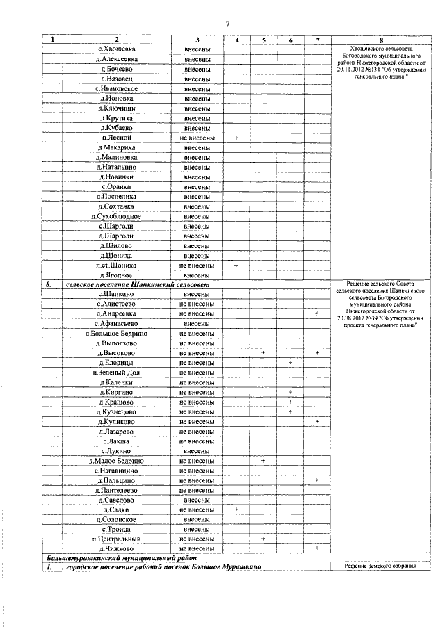
Распоряжение Правительства Нижегородской области от 14.04.2017 № 465-р
"Об утверждении плана-графика по проведению землеустроительных работ в отношении утвержденных в установленном порядке границ населенных пунктов"
Номер опубликования: 5200201704190001
Дата опубликования: 19.04.2017
Страница №9 из 76:
Увеличить