Официальное опубликование правовых актов
ОФИЦИАЛЬНОЕ ОПУБЛИКОВАНИЕ
Постановление Правительства Нижегородской области от 04.10.2016 № 672
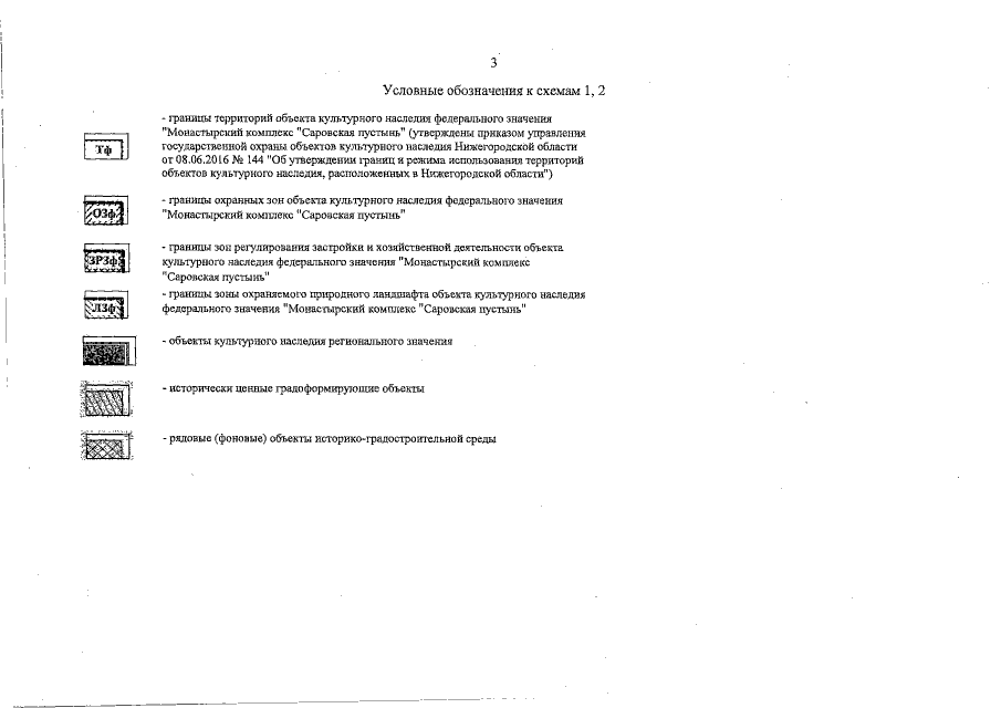
"Об утверждении границ зон охраны объекта культурного наследия федерального значения "Монастырский комплекс "Саровская пустынь" в г. Саров, особых режимов использования земель и требований к градостроительным регламентам в границах данных зон"
Номер опубликования: 5200201610070004
Дата опубликования: 07.10.2016
Страница №5 из 30:
Увеличить