Официальное опубликование правовых актов
ОФИЦИАЛЬНОЕ ОПУБЛИКОВАНИЕ
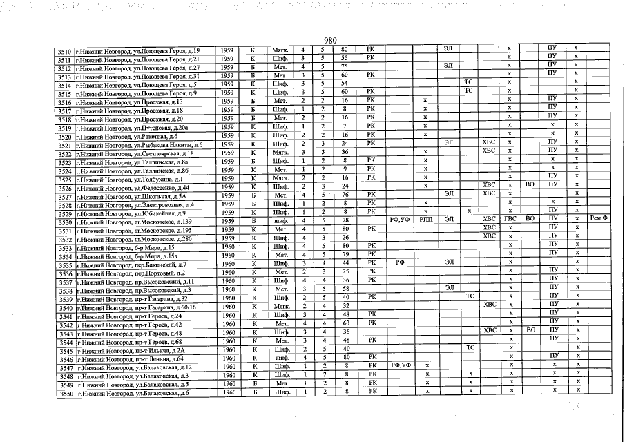
Постановление Правительства Нижегородской области от 11.08.2016 № 539
"О внесении изменений в региональную программу капитального ремонта общего имущества в многоквартирных домах, расположенных на территории Нижегородской области, утвержденную постановлением Правительства Нижегородской области от 1 апреля 2014 года № 208"
Номер опубликования: 5200201608170001
Дата опубликования: 17.08.2016
Страница №985 из 1053:
Увеличить