Официальное опубликование правовых актов
ОФИЦИАЛЬНОЕ ОПУБЛИКОВАНИЕ
Постановление Правительства Нижегородской области от 29.07.2016 № 493
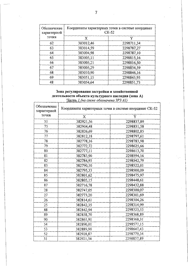
"Об утверждении границ зон охраны объекта культурного наследия федерального значения "Усадьба и дом Пушкина Александра Сергеевича" в с. Большое Болдино, особых режимов использования земель и требований к градостроительным регламентам в границах территорий данных зон"
Номер опубликования: 5200201608020001
Дата опубликования: 02.08.2016
Страница №9 из 24:
Увеличить