Официальное опубликование правовых актов
ОФИЦИАЛЬНОЕ ОПУБЛИКОВАНИЕ
Постановление Правительства Нижегородской области от 27.07.2016 № 487
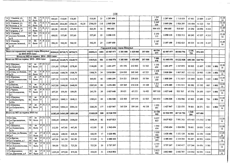
"О внесении изменений в краткосрочный план реализации региональной программы капитального ремонта общего имущества в многоквартирных домах, расположенных на территории Нижегородской области, на 2014-2016 годы, утвержденный постановлением Правительства Нижегородской области от 28 августа 2014 года № 582"
Номер опубликования: 5200201607290004
Дата опубликования: 29.07.2016
Страница №109 из 227:
Увеличить