Официальное опубликование правовых актов
ОФИЦИАЛЬНОЕ ОПУБЛИКОВАНИЕ
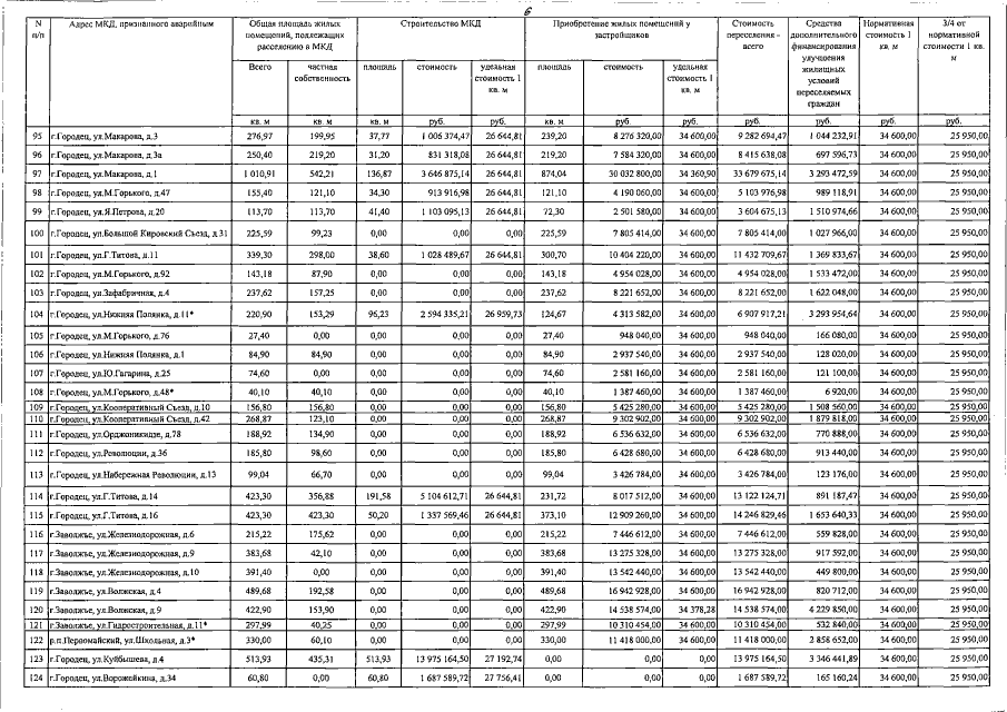
Постановление Правительства Нижегородской области от 28.03.2016 № 173
"О внесении изменений в государственную региональную адресную программу "Переселение граждан из аварийного жилищного фонда на территории Нижегородской области, в том числе с учетом необходимости развития малоэтажного жилищного строительства на 2013 - 2017 годы", утвержденную постановлением Правительства Нижегородской области от 19 июня 2013 года № 383"
Номер опубликования: 5200201603290006
Дата опубликования: 29.03.2016
Страница №68 из 110:
Увеличить