Официальное опубликование правовых актов
ОФИЦИАЛЬНОЕ ОПУБЛИКОВАНИЕ
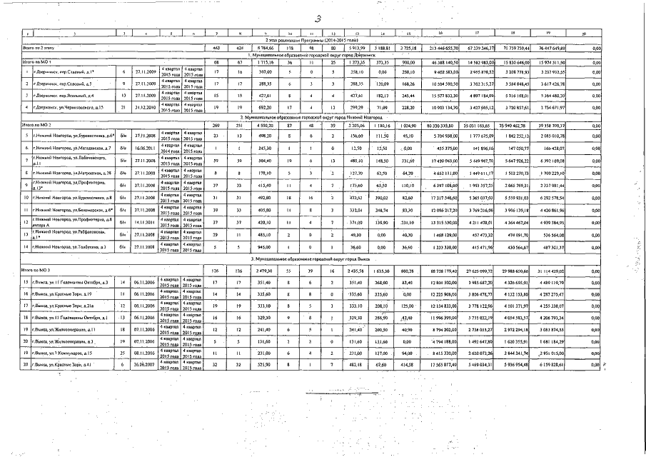
Постановление Правительства Нижегородской области от 28.03.2016 № 172
"О внесении изменений в постановление Правительства Нижегородской области от 15 апреля 2013 года № 224"
Номер опубликования: 5200201603290004
Дата опубликования: 29.03.2016
Страница №6 из 10:
Увеличить