Официальное опубликование правовых актов
ОФИЦИАЛЬНОЕ ОПУБЛИКОВАНИЕ
Постановление Правительства Нижегородской области от 16.02.2016 № 57
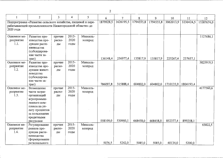
"О внесении изменений в государственную программу "Развитие агропромышленного комплекса Нижегородской области", утвержденную постановлением Правительства Нижегородской области от 28 апреля 2014 года № 280"
Номер опубликования: 5200201602190003
Дата опубликования: 19.02.2016
Страница №24 из 75:
Увеличить