Официальное опубликование правовых актов
ОФИЦИАЛЬНОЕ ОПУБЛИКОВАНИЕ
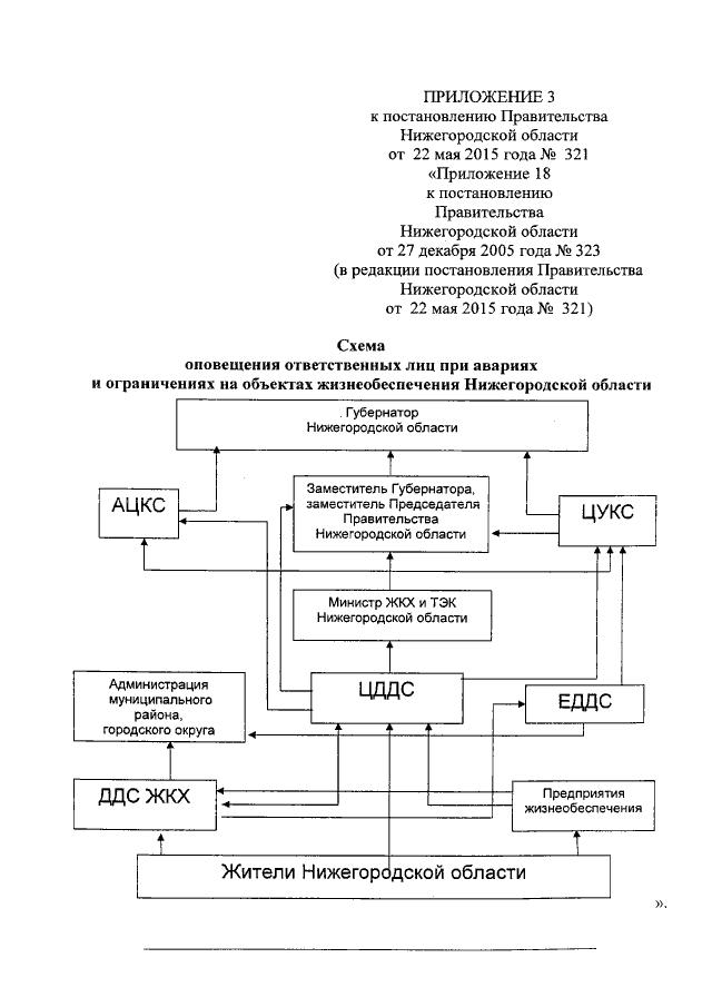
Постановление Правительства Нижегородской области от 22.05.2015 № 321
"О внесении изменений в постановление Правительства Нижегородской области от 27 декабря 2005 года № 323"
Номер опубликования: 5200201505280010
Дата опубликования: 28.05.2015
Страница №10 из 10:
Увеличить