Официальное опубликование правовых актов
ОФИЦИАЛЬНОЕ ОПУБЛИКОВАНИЕ
Распоряжение Министерства культуры Мурманской области от 24.02.2025 № 19
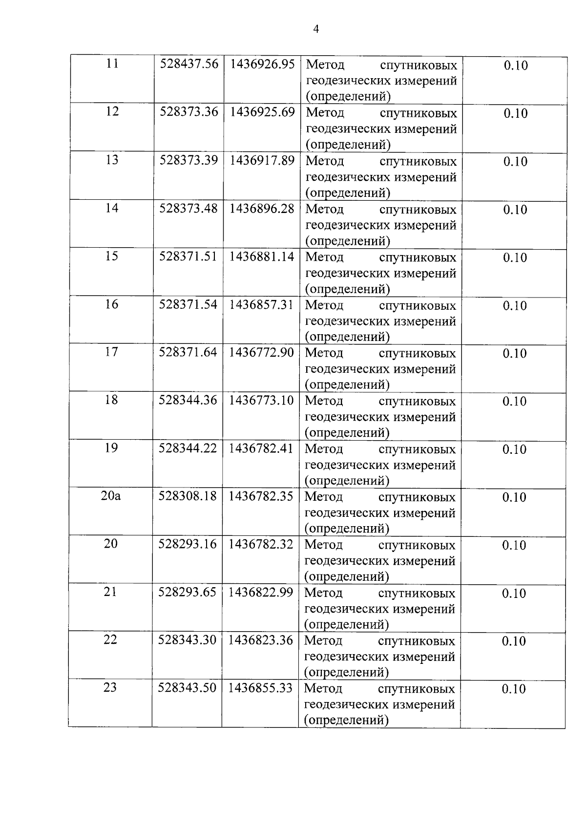
"Об установлении зон охраны (охранной зоны, зон регулирования застройки и хозяйственной деятельности) объекта культурного наследия регионального значения "Жилое здание, 1952 г., архитектор В. А. Добрынин", 1952 г., местонахождение (адрес): Мурманская область, город Мончегорск, проспект Металлургов, дом 11, а также режимов использования земель и земельных участков, требований к градостроительным регламентам в границах данных зон"
(Зарегистрирован 25.02.2025 № 12-2025-12)
Номер опубликования: 5101202502260005
Дата опубликования: 26.02.2025
Страница №6 из 26:
Увеличить