Официальное опубликование правовых актов
ОФИЦИАЛЬНОЕ ОПУБЛИКОВАНИЕ
Постановление Комитета по тарифному регулированию Мурманской области от 31.01.2025 № 5/2
"О внесении изменений в отдельные постановления Комитета по тарифному регулированию Мурманской области"
(Зарегистрирован 31.01.2025 № 06-2025-10)
Номер опубликования: 5101202501310005
Дата опубликования: 31.01.2025
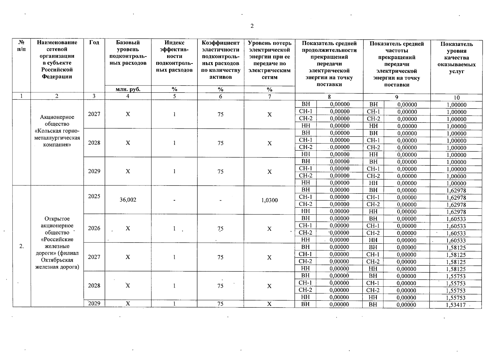
Страница №26 из 37:
Увеличить