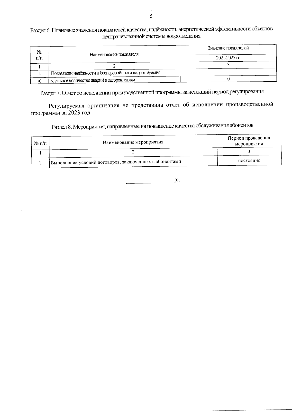
Постановление Комитета по тарифному регулированию Мурманской области от 20.12.2024 № 51/11
"О внесении изменения в постановление Комитета по тарифному регулированию Мурманской области от 16.12.2020 № 55/23 в связи с корректировкой производственной программы, ранее утвержденной ООО "Север-Сити" на 2025 год"
"О внесении изменения в постановление Комитета по тарифному регулированию Мурманской области от 16.12.2020 № 55/23 в связи с корректировкой производственной программы, ранее утвержденной ООО "Север-Сити" на 2025 год"
Номер опубликования: 5101202412230101
Дата опубликования:
23.12.2024
